RXS0603+42-N IR detection object #2008

Color images and BPZ results
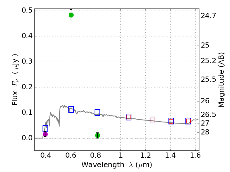
Catalog: 2008.cat
Black segments are analyzed here.   Roll mouse over color images to view segments.
Best viewed in a wide browser window (1200 pixels or more).   Download SED & P(z) plots to view larger versions.
In P(z) plots: Yellow lines mark the cluster redshift z = 0.228,  

Object #2008   x,y = (4340, 2892)   RA, Dec = (06:03:04.200, 42:16:11.28) = (90.76750, 42.26980)   BPZ = 3.176 [2.996--3.355]   type = 11.00 (SB11_A_0_l)   stellarity = 0.70   chisq2 = 324.00   ODDS = 0.94   z_cluster = 0.228