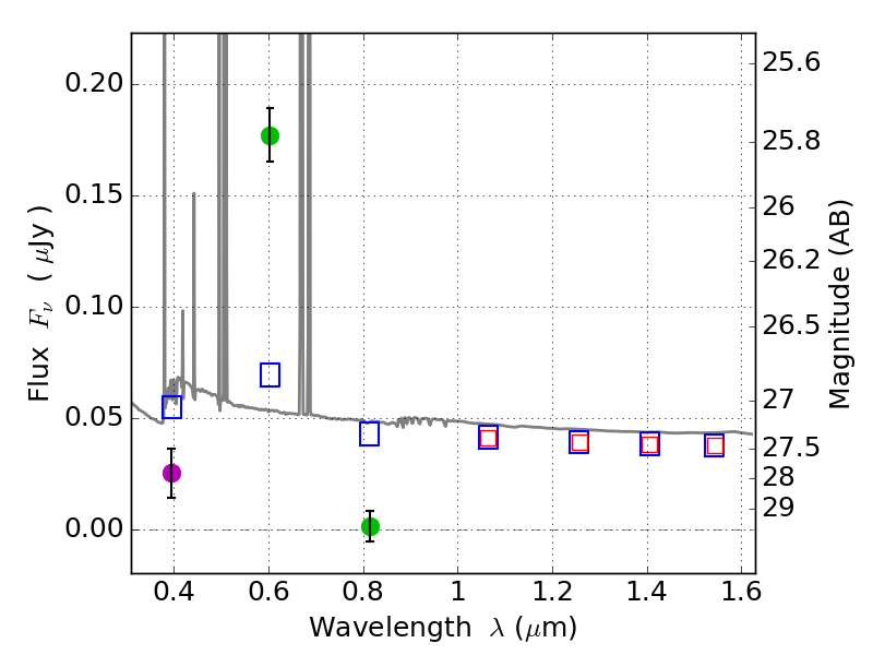
RXS0603+42-N IR detection object #1950

Color images and BPZ results
Catalog: 1950.cat
Black segments are analyzed here.   Roll mouse over color images to view segments.
Best viewed in a wide browser window (1200 pixels or more).   Download SED & P(z) plots to view larger versions.
In P(z) plots: Yellow lines mark the cluster redshift z = 0.228,  

Object #1950   x,y = (4225, 2912)   RA, Dec = (06:03:04.824, 42:16:12.36) = (90.77010, 42.27010)   BPZ = 0.022 [0.010--0.050]   type = 11.00 (SB11_A_0_l)   stellarity = 0.53   chisq2 = 101.90   ODDS = 0.99   z_cluster = 0.228