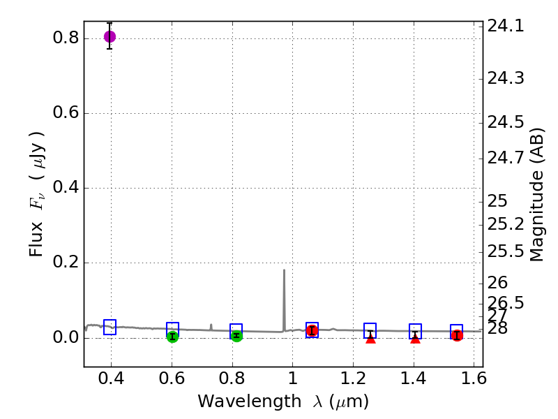
RXS0603+42-N IR detection object #1928

Color images and BPZ results
Catalog: 1928.cat
Black segments are analyzed here.   Roll mouse over color images to view segments.
Best viewed in a wide browser window (1200 pixels or more).   Download SED & P(z) plots to view larger versions.
In P(z) plots: Yellow lines mark the cluster redshift z = 0.228,  

Object #1928   x,y = (1868, 2918)   RA, Dec = (06:03:17.568, 42:16:12.72) = (90.82320, 42.27020)   BPZ = 1.612 [0.956--2.270]   type = 11.00 (SB11_A_0_l)   stellarity = 0.90   chisq2 = 129.20   ODDS = 0.33   z_cluster = 0.228