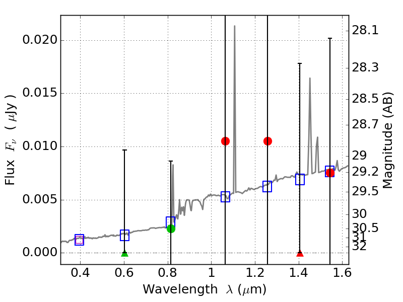
RXS0603+42-N IR detection object #1906

Color images and BPZ results
Catalog: 1906.cat
Black segments are analyzed here.   Roll mouse over color images to view segments.
Best viewed in a wide browser window (1200 pixels or more).   Download SED & P(z) plots to view larger versions.
In P(z) plots: Yellow lines mark the cluster redshift z = 0.228,  

Object #1906   x,y = (1860, 2922)   RA, Dec = (06:03:17.616, 42:16:13.08) = (90.82340, 42.27030)   BPZ = 1.210 [0.334--8.315]   type = 8.00 (SB1_B10)   stellarity = 0.99   chisq2 = 900.00   ODDS = 0.05   z_cluster = 0.228