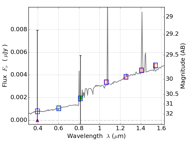
RXS0603+42-N IR detection object #188

Color images and BPZ results
Catalog: 188.cat
Black segments are analyzed here.   Roll mouse over color images to view segments.
Best viewed in a wide browser window (1200 pixels or more).   Download SED & P(z) plots to view larger versions.
In P(z) plots: Yellow lines mark the cluster redshift z = 0.228,  

Object #188   x,y = (2515, 3744)   RA, Dec = (06:03:14.064, 42:17:02.40) = (90.80860, 42.28400)   BPZ = 1.151 [0.328--8.757]   type = 8.00 (SB1_B10)   stellarity = 0.65   chisq2 = 900.00   ODDS = 0.05   z_cluster = 0.228