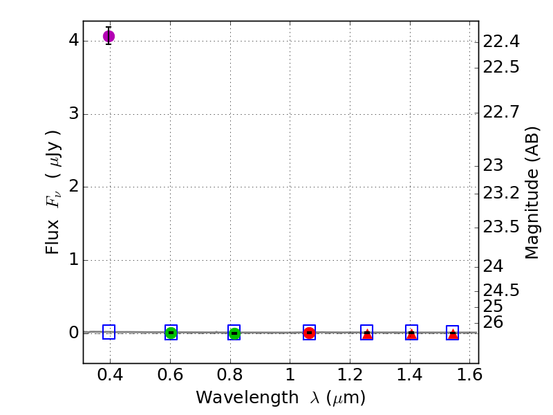
RXS0603+42-N IR detection object #1863

Color images and BPZ results
Catalog: 1863.cat
Black segments are analyzed here.   Roll mouse over color images to view segments.
Best viewed in a wide browser window (1200 pixels or more).   Download SED & P(z) plots to view larger versions.
In P(z) plots: Yellow lines mark the cluster redshift z = 0.228,  

Object #1863   x,y = (1875, 2939)   RA, Dec = (06:03:17.520, 42:16:14.16) = (90.82300, 42.27060)   BPZ = 1.703 [0.372--7.581]   type = 11.00 (SB11_A_0_l)   stellarity = 0.99   chisq2 = 275.50   ODDS = 0.12   z_cluster = 0.228