RXS0603+42-N IR detection object #1848

Color images and BPZ results
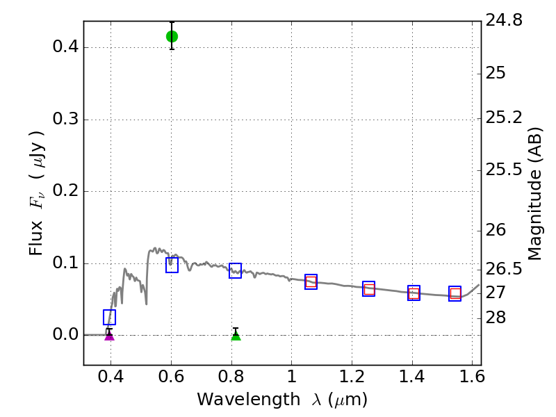
Catalog: 1848.cat
Black segments are analyzed here.   Roll mouse over color images to view segments.
Best viewed in a wide browser window (1200 pixels or more).   Download SED & P(z) plots to view larger versions.
In P(z) plots: Yellow lines mark the cluster redshift z = 0.228,  

Object #1848   x,y = (4311, 2947)   RA, Dec = (06:03:04.368, 42:16:14.52) = (90.76820, 42.27070)   BPZ = 3.271 [3.128--3.496]   type = 11.00 (SB11_A_0_l)   stellarity = 0.69   chisq2 = 327.80   ODDS = 0.92   z_cluster = 0.228