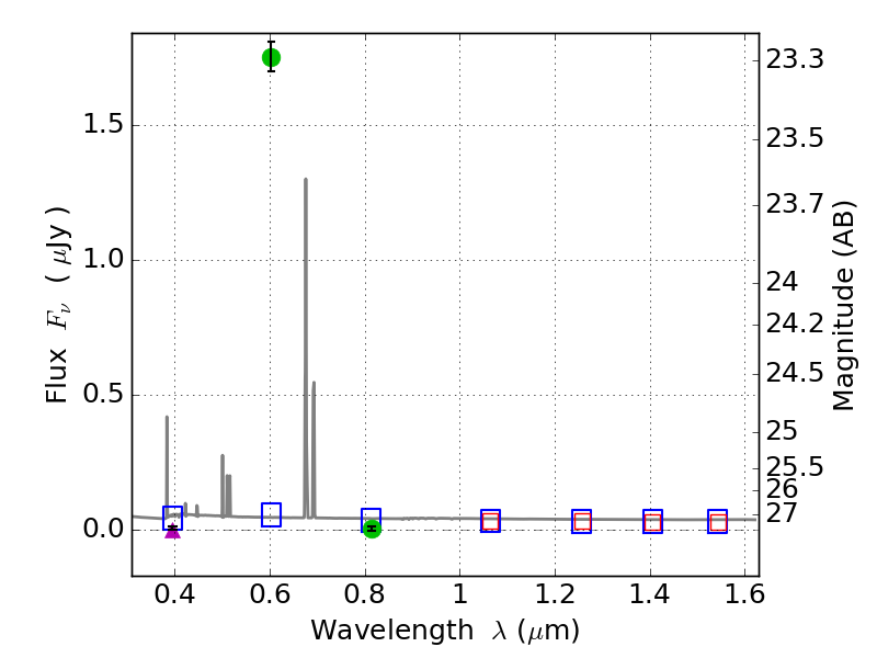
RXS0603+42-N IR detection object #1846

Color images and BPZ results
Catalog: 1846.cat
Black segments are analyzed here.   Roll mouse over color images to view segments.
Best viewed in a wide browser window (1200 pixels or more).   Download SED & P(z) plots to view larger versions.
In P(z) plots: Yellow lines mark the cluster redshift z = 0.228,  

Object #1846   x,y = (4195, 2948)   RA, Dec = (06:03:04.992, 42:16:14.52) = (90.77080, 42.27070)   BPZ = 0.028 [0.027--3.565]   type = 11.00 (SB11_A_0_l)   stellarity = 0.91   chisq2 = 981.10   ODDS = 0.06   z_cluster = 0.228