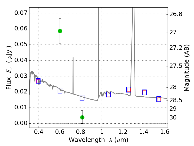
RXS0603+42-N IR detection object #184

Color images and BPZ results
Catalog: 184.cat
Black segments are analyzed here.   Roll mouse over color images to view segments.
Best viewed in a wide browser window (1200 pixels or more).   Download SED & P(z) plots to view larger versions.
In P(z) plots: Yellow lines mark the cluster redshift z = 0.228,  

Object #184   x,y = (2204, 3748)   RA, Dec = (06:03:15.744, 42:17:02.40) = (90.81560, 42.28400)   BPZ = 1.597 [0.205--3.346]   type = 11.00 (SB11_A_0_l)   stellarity = 0.66   chisq2 = 28.71   ODDS = 0.14   z_cluster = 0.228