RXS0603+42-N IR detection object #1838

Color images and BPZ results
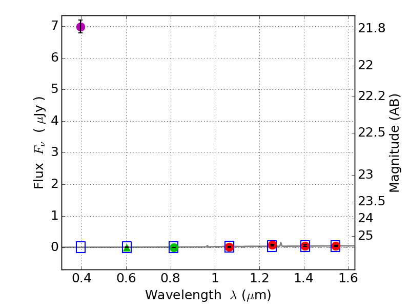
Catalog: 1838.cat
Black segments are analyzed here.   Roll mouse over color images to view segments.
Best viewed in a wide browser window (1200 pixels or more).   Download SED & P(z) plots to view larger versions.
In P(z) plots: Yellow lines mark the cluster redshift z = 0.228,  

Object #1838   x,y = (1885, 2945)   RA, Dec = (06:03:17.472, 42:16:14.52) = (90.82280, 42.27070)   BPZ = 1.594 [0.923--8.373]   type = 7.80 (SB1_B10 - Scd_B10)   stellarity = 1.00   chisq2 = 288.20   ODDS = 0.10   z_cluster = 0.228