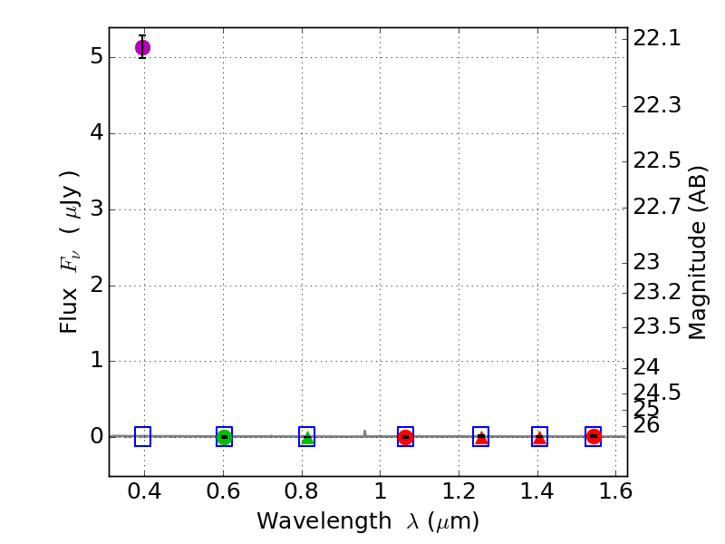
RXS0603+42-N IR detection object #1837

Color images and BPZ results
Catalog: 1837.cat
Black segments are analyzed here.   Roll mouse over color images to view segments.
Best viewed in a wide browser window (1200 pixels or more).   Download SED & P(z) plots to view larger versions.
In P(z) plots: Yellow lines mark the cluster redshift z = 0.228,  

Object #1837   x,y = (1884, 2949)   RA, Dec = (06:03:17.472, 42:16:14.52) = (90.82280, 42.27070)   BPZ = 1.583 [0.336--8.028]   type = 11.00 (SB11_A_0_l)   stellarity = 0.99   chisq2 = 286.50   ODDS = 0.08   z_cluster = 0.228