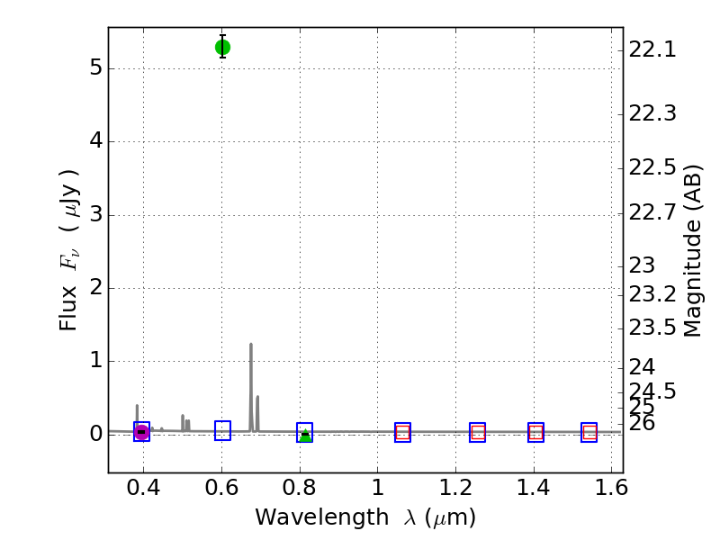
RXS0603+42-N IR detection object #1813

Color images and BPZ results
Catalog: 1813.cat
Black segments are analyzed here.   Roll mouse over color images to view segments.
Best viewed in a wide browser window (1200 pixels or more).   Download SED & P(z) plots to view larger versions.
In P(z) plots: Yellow lines mark the cluster redshift z = 0.228,  

Object #1813   x,y = (4254, 2959)   RA, Dec = (06:03:04.656, 42:16:15.24) = (90.76940, 42.27090)   BPZ = 0.033 [0.018--2.486]   type = 11.00 (SB11_A_0_l)   stellarity = 0.65   chisq2 = 1135.00   ODDS = 0.19   z_cluster = 0.228