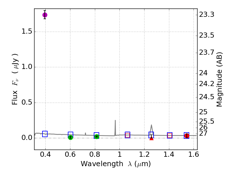
RXS0603+42-N IR detection object #1758

Color images and BPZ results
Catalog: 1758.cat
Black segments are analyzed here.   Roll mouse over color images to view segments.
Best viewed in a wide browser window (1200 pixels or more).   Download SED & P(z) plots to view larger versions.
In P(z) plots: Yellow lines mark the cluster redshift z = 0.228,  

Object #1758   x,y = (1903, 2979)   RA, Dec = (06:03:17.376, 42:16:16.32) = (90.82240, 42.27120)   BPZ = 1.586 [1.120--2.128]   type = 11.00 (SB11_A_0_l)   stellarity = 0.97   chisq2 = 402.70   ODDS = 0.35   z_cluster = 0.228