RXS0603+42-N IR detection object #1728

Color images and BPZ results
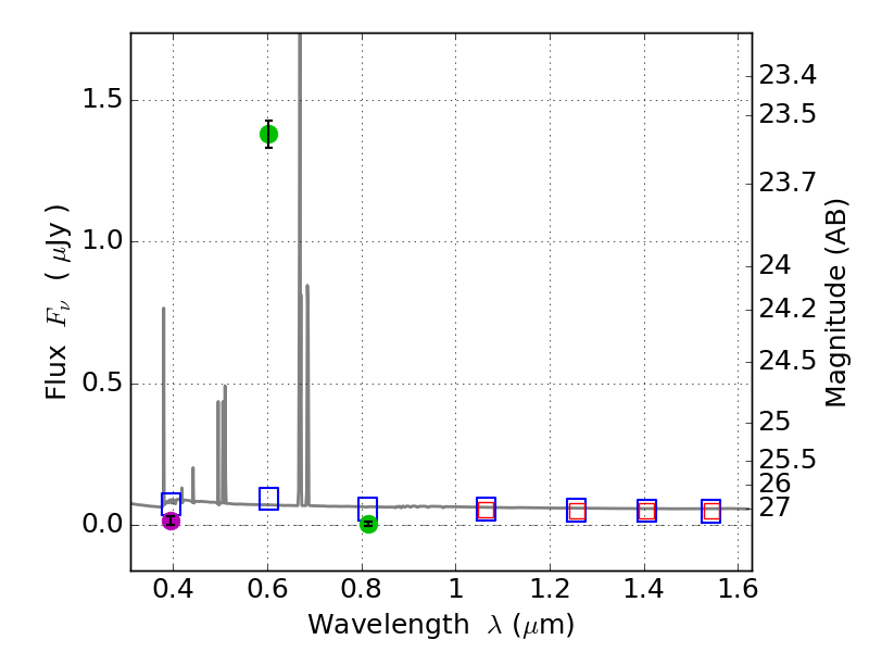
Catalog: 1728.cat
Black segments are analyzed here.   Roll mouse over color images to view segments.
Best viewed in a wide browser window (1200 pixels or more).   Download SED & P(z) plots to view larger versions.
In P(z) plots: Yellow lines mark the cluster redshift z = 0.228,  

Object #1728   x,y = (4159, 2994)   RA, Dec = (06:03:05.184, 42:16:17.40) = (90.77160, 42.27150)   BPZ = 0.022 [0.010--2.987]   type = 11.00 (SB11_A_0_l)   stellarity = 0.72   chisq2 = 799.60   ODDS = 0.92   z_cluster = 0.228