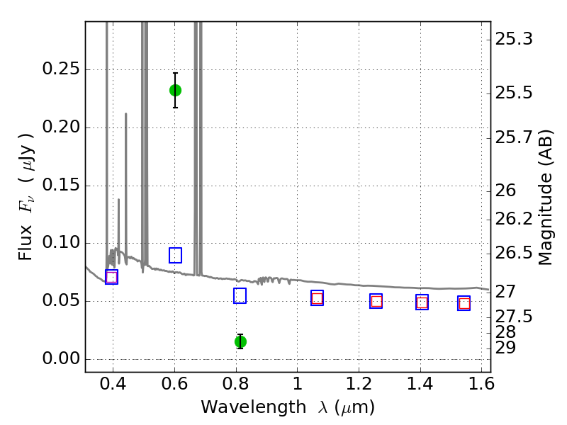
RXS0603+42-N IR detection object #159

Color images and BPZ results
Catalog: 159.cat
Black segments are analyzed here.   Roll mouse over color images to view segments.
Best viewed in a wide browser window (1200 pixels or more).   Download SED & P(z) plots to view larger versions.
In P(z) plots: Yellow lines mark the cluster redshift z = 0.228,  

Object #159   x,y = (2248, 3752)   RA, Dec = (06:03:15.504, 42:17:02.76) = (90.81460, 42.28410)   BPZ = 0.020 [0.010--0.044]   type = 11.00 (SB11_A_0_l)   stellarity = 0.65   chisq2 = 96.41   ODDS = 1.00   z_cluster = 0.228