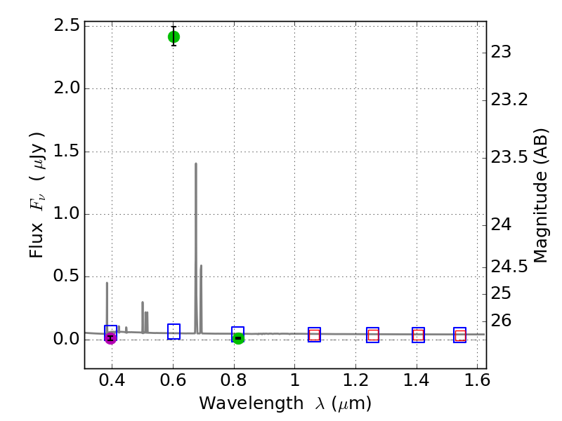
RXS0603+42-N IR detection object #1576

Color images and BPZ results
Catalog: 1576.cat
Black segments are analyzed here.   Roll mouse over color images to view segments.
Best viewed in a wide browser window (1200 pixels or more).   Download SED & P(z) plots to view larger versions.
In P(z) plots: Yellow lines mark the cluster redshift z = 0.228,  

Object #1576   x,y = (3978, 3055)   RA, Dec = (06:03:06.168, 42:16:21.00) = (90.77570, 42.27250)   BPZ = 0.027 [0.018--3.397]   type = 11.00 (SB11_A_0_l)   stellarity = 0.84   chisq2 = 1015.00   ODDS = 0.13   z_cluster = 0.228