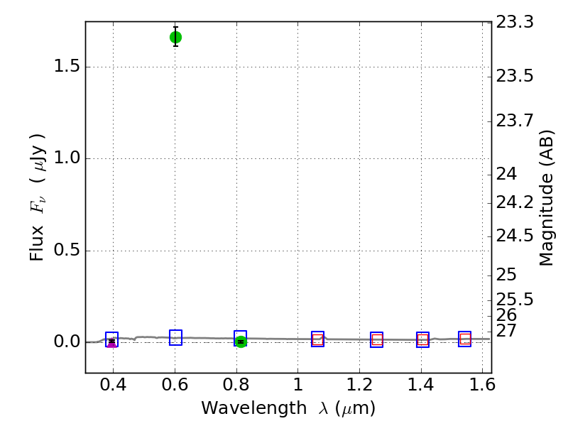
RXS0603+42-N IR detection object #1520

Color images and BPZ results
Catalog: 1520.cat
Black segments are analyzed here.   Roll mouse over color images to view segments.
Best viewed in a wide browser window (1200 pixels or more).   Download SED & P(z) plots to view larger versions.
In P(z) plots: Yellow lines mark the cluster redshift z = 0.228,  

Object #1520   x,y = (3980, 3081)   RA, Dec = (06:03:06.144, 42:16:22.44) = (90.77560, 42.27290)   BPZ = 2.869 [0.056--3.644]   type = 11.00 (SB11_A_0_l)   stellarity = 0.72   chisq2 = 998.30   ODDS = 0.24   z_cluster = 0.228