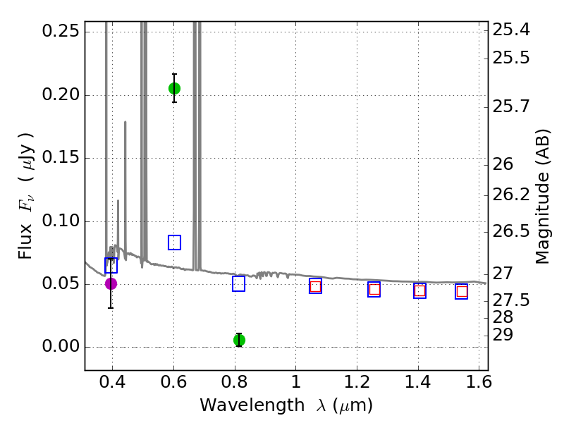
RXS0603+42-N IR detection object #1510

Color images and BPZ results
Catalog: 1510.cat
Black segments are analyzed here.   Roll mouse over color images to view segments.
Best viewed in a wide browser window (1200 pixels or more).   Download SED & P(z) plots to view larger versions.
In P(z) plots: Yellow lines mark the cluster redshift z = 0.228,  

Object #1510   x,y = (1960, 3086)   RA, Dec = (06:03:17.064, 42:16:22.80) = (90.82110, 42.27300)   BPZ = 0.018 [0.010--0.040]   type = 11.00 (SB11_A_0_l)   stellarity = 0.66   chisq2 = 133.80   ODDS = 1.00   z_cluster = 0.228