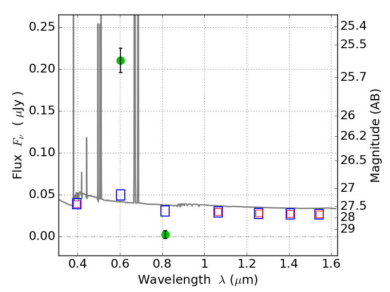
RXS0603+42-N IR detection object #150

Color images and BPZ results
Catalog: 150.cat
Black segments are analyzed here.   Roll mouse over color images to view segments.
Best viewed in a wide browser window (1200 pixels or more).   Download SED & P(z) plots to view larger versions.
In P(z) plots: Yellow lines mark the cluster redshift z = 0.228,  

Object #150   x,y = (2181, 3756)   RA, Dec = (06:03:15.864, 42:17:03.12) = (90.81610, 42.28420)   BPZ = 0.022 [0.010--2.760]   type = 11.00 (SB11_A_0_l)   stellarity = 0.66   chisq2 = 140.20   ODDS = 0.75   z_cluster = 0.228