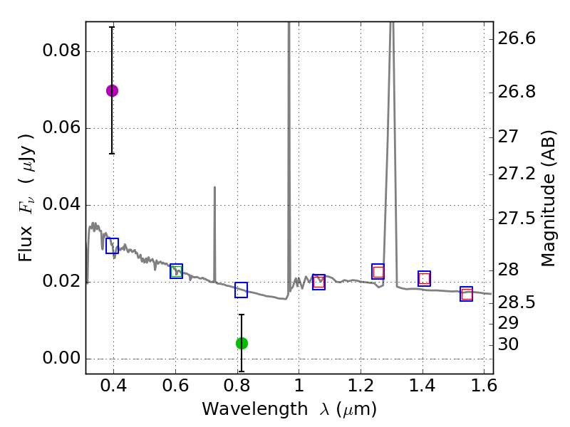
RXS0603+42-N IR detection object #1468

Color images and BPZ results
Catalog: 1468.cat
Black segments are analyzed here.   Roll mouse over color images to view segments.
Best viewed in a wide browser window (1200 pixels or more).   Download SED & P(z) plots to view larger versions.
In P(z) plots: Yellow lines mark the cluster redshift z = 0.228,  

Object #1468   x,y = (3960, 3105)   RA, Dec = (06:03:06.264, 42:16:23.88) = (90.77610, 42.27330)   BPZ = 1.596 [0.445--5.133]   type = 11.00 (SB11_A_0_l)   stellarity = 0.83   chisq2 = 9.13   ODDS = 0.14   z_cluster = 0.228