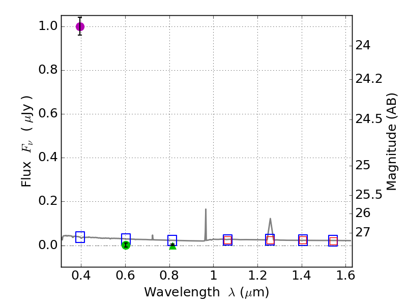
RXS0603+42-N IR detection object #1406

Color images and BPZ results
Catalog: 1406.cat
Black segments are analyzed here.   Roll mouse over color images to view segments.
Best viewed in a wide browser window (1200 pixels or more).   Download SED & P(z) plots to view larger versions.
In P(z) plots: Yellow lines mark the cluster redshift z = 0.228,  

Object #1406   x,y = (2007, 3133)   RA, Dec = (06:03:16.824, 42:16:25.68) = (90.82010, 42.27380)   BPZ = 1.594 [1.132--2.175]   type = 11.00 (SB11_A_0_l)   stellarity = 0.70   chisq2 = 610.40   ODDS = 0.33   z_cluster = 0.228