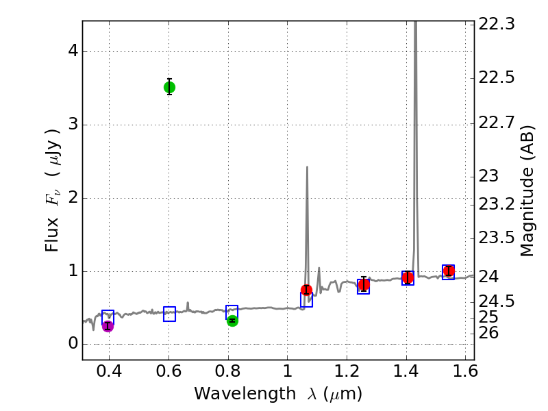
RXS0603+42-N IR detection object #1339

Color images and BPZ results
Catalog: 1339.cat
Black segments are analyzed here.   Roll mouse over color images to view segments.
Best viewed in a wide browser window (1200 pixels or more).   Download SED & P(z) plots to view larger versions.
In P(z) plots: Yellow lines mark the cluster redshift z = 0.228,  

Object #1339   x,y = (3805, 3098)   RA, Dec = (06:03:07.080, 42:16:23.52) = (90.77950, 42.27320)   BPZ = 1.858 [1.666--2.056]   type = 9.40 (SB2_B10 - SB3_B10)   stellarity = 0.89   chisq2 = 155.80   ODDS = 0.79   z_cluster = 0.228