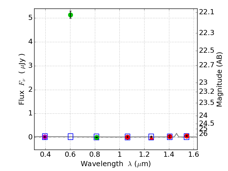
RXS0603+42-N IR detection object #1324

Color images and BPZ results
Catalog: 1324.cat
Black segments are analyzed here.   Roll mouse over color images to view segments.
Best viewed in a wide browser window (1200 pixels or more).   Download SED & P(z) plots to view larger versions.
In P(z) plots: Yellow lines mark the cluster redshift z = 0.228,  

Object #1324   x,y = (3778, 3166)   RA, Dec = (06:03:07.248, 42:16:27.48) = (90.78020, 42.27430)   BPZ = 1.916 [0.594--8.390]   type = 11.00 (SB11_A_0_l)   stellarity = 0.95   chisq2 = 286.50   ODDS = 0.12   z_cluster = 0.228