RXS0603+42-N IR detection object #1322

Color images and BPZ results
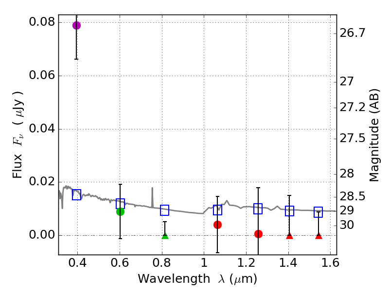
Catalog: 1322.cat
Black segments are analyzed here.   Roll mouse over color images to view segments.
Best viewed in a wide browser window (1200 pixels or more).   Download SED & P(z) plots to view larger versions.
In P(z) plots: Yellow lines mark the cluster redshift z = 0.228,  

Object #1322   x,y = (3656, 3169)   RA, Dec = (06:03:07.896, 42:16:27.84) = (90.78290, 42.27440)   BPZ = 1.701 [0.341--5.470]   type = 11.00 (SB11_A_0_l)   stellarity = 0.43   chisq2 = 7.38   ODDS = 0.15   z_cluster = 0.228