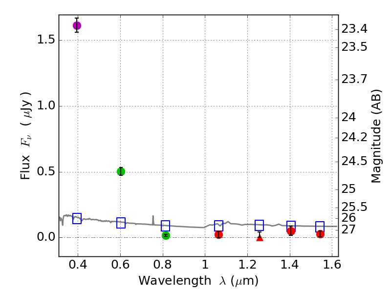
RXS0603+42-N IR detection object #1305

Color images and BPZ results
Catalog: 1305.cat
Black segments are analyzed here.   Roll mouse over color images to view segments.
Best viewed in a wide browser window (1200 pixels or more).   Download SED & P(z) plots to view larger versions.
In P(z) plots: Yellow lines mark the cluster redshift z = 0.228,  

Object #1305   x,y = (3737, 3173)   RA, Dec = (06:03:07.464, 42:16:28.20) = (90.78110, 42.27450)   BPZ = 1.700 [1.573--1.940]   type = 11.00 (SB11_A_0_l)   stellarity = 0.94   chisq2 = 225.30   ODDS = 0.74   z_cluster = 0.228