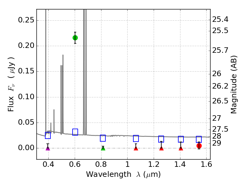
RXS0603+42-N IR detection object #1296

Color images and BPZ results
Catalog: 1296.cat
Black segments are analyzed here.   Roll mouse over color images to view segments.
Best viewed in a wide browser window (1200 pixels or more).   Download SED & P(z) plots to view larger versions.
In P(z) plots: Yellow lines mark the cluster redshift z = 0.228,  

Object #1296   x,y = (3610, 3178)   RA, Dec = (06:03:08.136, 42:16:28.20) = (90.78390, 42.27450)   BPZ = 0.022 [0.010--0.056]   type = 11.00 (SB11_A_0_l)   stellarity = 0.70   chisq2 = 79.72   ODDS = 0.98   z_cluster = 0.228