RXS0603+42-N IR detection object #1261

Color images and BPZ results
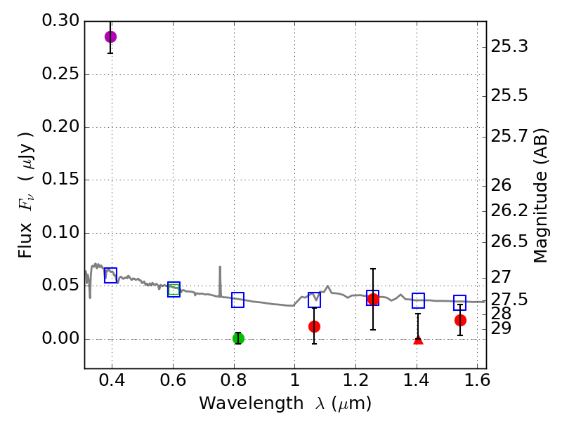
Catalog: 1261.cat
Black segments are analyzed here.   Roll mouse over color images to view segments.
Best viewed in a wide browser window (1200 pixels or more).   Download SED & P(z) plots to view larger versions.
In P(z) plots: Yellow lines mark the cluster redshift z = 0.228,  

Object #1261   x,y = (3764, 3194)   RA, Dec = (06:03:07.320, 42:16:29.28) = (90.78050, 42.27480)   BPZ = 1.700 [1.492--1.958]   type = 11.00 (SB11_A_0_l)   stellarity = 0.74   chisq2 = 71.97   ODDS = 0.70   z_cluster = 0.228