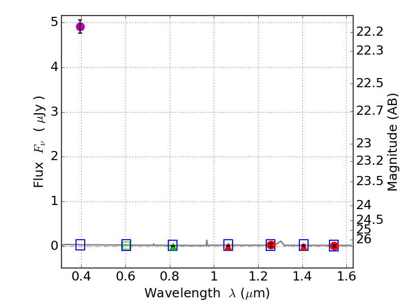
RXS0603+42-N IR detection object #1206

Color images and BPZ results
Catalog: 1206.cat
Black segments are analyzed here.   Roll mouse over color images to view segments.
Best viewed in a wide browser window (1200 pixels or more).   Download SED & P(z) plots to view larger versions.
In P(z) plots: Yellow lines mark the cluster redshift z = 0.228,  

Object #1206   x,y = (3801, 3229)   RA, Dec = (06:03:07.128, 42:16:31.44) = (90.77970, 42.27540)   BPZ = 1.604 [0.332--5.250]   type = 11.00 (SB11_A_0_l)   stellarity = 1.00   chisq2 = 363.80   ODDS = 0.13   z_cluster = 0.228