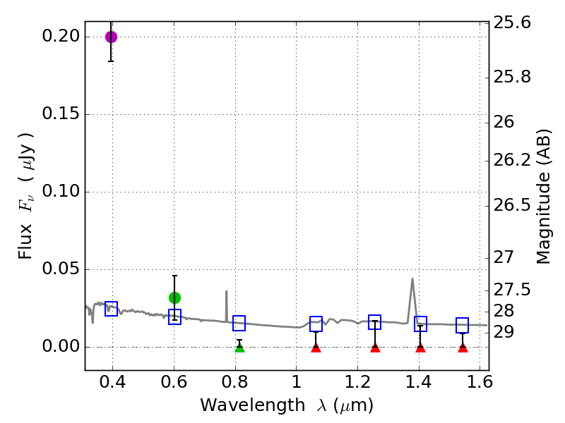
RXS0603+42-N IR detection object #1180

Color images and BPZ results
Catalog: 1180.cat
Black segments are analyzed here.   Roll mouse over color images to view segments.
Best viewed in a wide browser window (1200 pixels or more).   Download SED & P(z) plots to view larger versions.
In P(z) plots: Yellow lines mark the cluster redshift z = 0.228,  

Object #1180   x,y = (3636, 3237)   RA, Dec = (06:03:08.016, 42:16:31.80) = (90.78340, 42.27550)   BPZ = 1.763 [1.062--2.359]   type = 11.00 (SB11_A_0_l)   stellarity = 0.90   chisq2 = 33.43   ODDS = 0.39   z_cluster = 0.228