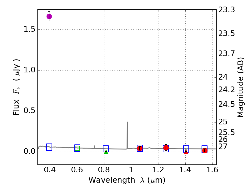
RXS0603+42-N IR detection object #1178

Color images and BPZ results
Catalog: 1178.cat
Black segments are analyzed here.   Roll mouse over color images to view segments.
Best viewed in a wide browser window (1200 pixels or more).   Download SED & P(z) plots to view larger versions.
In P(z) plots: Yellow lines mark the cluster redshift z = 0.228,  

Object #1178   x,y = (3807, 3238)   RA, Dec = (06:03:07.080, 42:16:31.80) = (90.77950, 42.27550)   BPZ = 1.612 [1.295--2.105]   type = 11.00 (SB11_A_0_l)   stellarity = 1.00   chisq2 = 235.40   ODDS = 0.47   z_cluster = 0.228