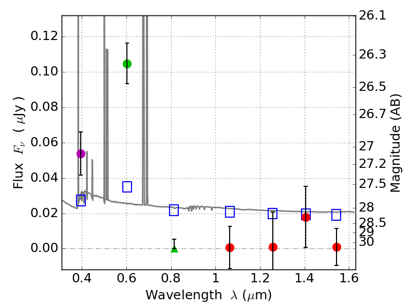
RXS0603+42-N IR detection object #1133

Color images and BPZ results
Catalog: 1133.cat
Black segments are analyzed here.   Roll mouse over color images to view segments.
Best viewed in a wide browser window (1200 pixels or more).   Download SED & P(z) plots to view larger versions.
In P(z) plots: Yellow lines mark the cluster redshift z = 0.228,  

Object #1133   x,y = (3489, 3233)   RA, Dec = (06:03:08.808, 42:16:31.80) = (90.78670, 42.27550)   BPZ = 0.026 [0.015--2.671]   type = 11.00 (SB11_A_0_l)   stellarity = 0.47   chisq2 = 15.10   ODDS = 0.20   z_cluster = 0.228