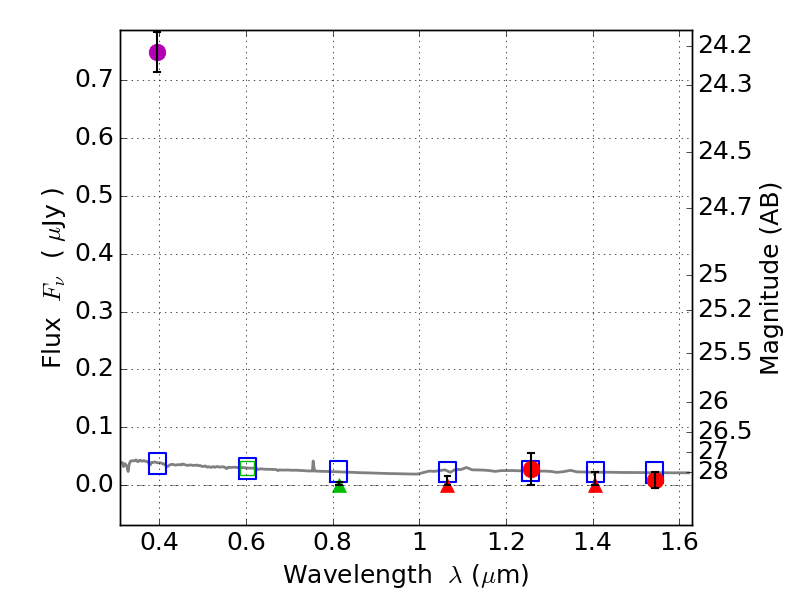
RXS0603+42-N IR detection object #1116

Color images and BPZ results
Catalog: 1116.cat
Black segments are analyzed here.   Roll mouse over color images to view segments.
Best viewed in a wide browser window (1200 pixels or more).   Download SED & P(z) plots to view larger versions.
In P(z) plots: Yellow lines mark the cluster redshift z = 0.228,  

Object #1116   x,y = (3733, 3270)   RA, Dec = (06:03:07.488, 42:16:33.96) = (90.78120, 42.27610)   BPZ = 1.699 [1.284--2.209]   type = 11.00 (SB11_A_0_l)   stellarity = 0.66   chisq2 = 146.70   ODDS = 0.47   z_cluster = 0.228