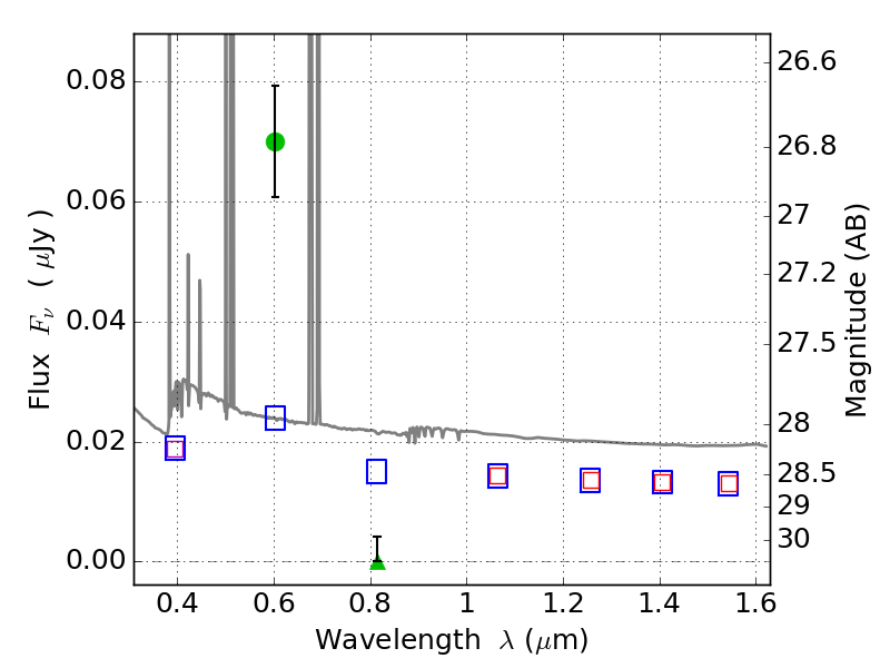
RXS0603+42-N IR detection object #1072

Color images and BPZ results
Catalog: 1072.cat
Black segments are analyzed here.   Roll mouse over color images to view segments.
Best viewed in a wide browser window (1200 pixels or more).   Download SED & P(z) plots to view larger versions.
In P(z) plots: Yellow lines mark the cluster redshift z = 0.228,  

Object #1072   x,y = (1970, 3288)   RA, Dec = (06:03:17.016, 42:16:35.04) = (90.82090, 42.27640)   BPZ = 0.030 [0.050--3.359]   type = 11.00 (SB11_A_0_l)   stellarity = 0.65   chisq2 = 35.81   ODDS = 0.03   z_cluster = 0.228