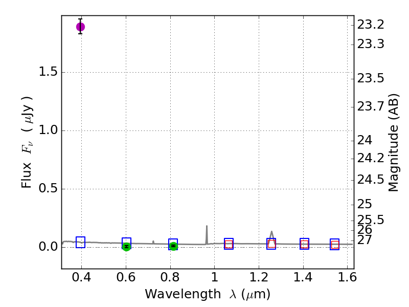
RXS0603+42-N IR detection object #1045

Color images and BPZ results
Catalog: 1045.cat
Black segments are analyzed here.   Roll mouse over color images to view segments.
Best viewed in a wide browser window (1200 pixels or more).   Download SED & P(z) plots to view larger versions.
In P(z) plots: Yellow lines mark the cluster redshift z = 0.228,  

Object #1045   x,y = (2091, 3299)   RA, Dec = (06:03:16.368, 42:16:35.76) = (90.81820, 42.27660)   BPZ = 1.594 [1.031--2.202]   type = 11.00 (SB11_A_0_l)   stellarity = 1.00   chisq2 = 900.10   ODDS = 0.29   z_cluster = 0.228