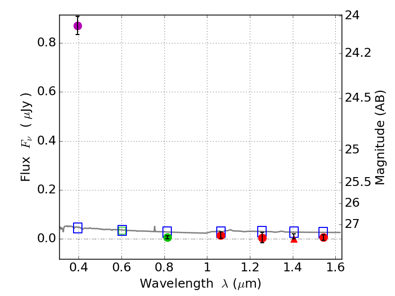
RXS0603+42-N IR detection object #1040

Color images and BPZ results
Catalog: 1040.cat
Black segments are analyzed here.   Roll mouse over color images to view segments.
Best viewed in a wide browser window (1200 pixels or more).   Download SED & P(z) plots to view larger versions.
In P(z) plots: Yellow lines mark the cluster redshift z = 0.228,  

Object #1040   x,y = (3607, 3303)   RA, Dec = (06:03:08.160, 42:16:35.76) = (90.78400, 42.27660)   BPZ = 1.701 [1.375--2.153]   type = 11.00 (SB11_A_0_l)   stellarity = 0.87   chisq2 = 173.40   ODDS = 0.56   z_cluster = 0.228