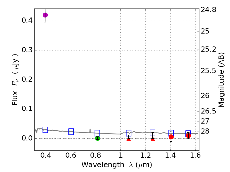
RXS0603+42-N IR detection object #1033

Color images and BPZ results
Catalog: 1033.cat
Black segments are analyzed here.   Roll mouse over color images to view segments.
Best viewed in a wide browser window (1200 pixels or more).   Download SED & P(z) plots to view larger versions.
In P(z) plots: Yellow lines mark the cluster redshift z = 0.228,  

Object #1033   x,y = (3636, 3302)   RA, Dec = (06:03:08.016, 42:16:35.76) = (90.78340, 42.27660)   BPZ = 1.699 [1.212--2.322]   type = 11.00 (SB11_A_0_l)   stellarity = 0.64   chisq2 = 89.62   ODDS = 0.38   z_cluster = 0.228