RXS0603+42-N IR detection object #1029

Color images and BPZ results
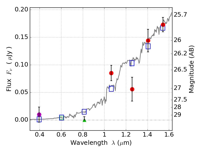
Catalog: 1029.cat
Black segments are analyzed here.   Roll mouse over color images to view segments.
Best viewed in a wide browser window (1200 pixels or more).   Download SED & P(z) plots to view larger versions.
In P(z) plots: Yellow lines mark the cluster redshift z = 0.228,  

Object #1029   x,y = (3560, 3297)   RA, Dec = (06:03:08.424, 42:16:35.40) = (90.78510, 42.27650)   BPZ = 1.558 [1.310--7.617]   type = 5.30 (ES0_B10 - Sbc_B10)   stellarity = 0.08   chisq2 = 2.73   ODDS = 0.21   z_cluster = 0.228