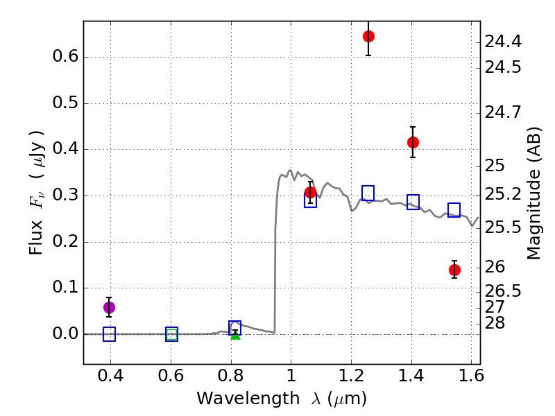
RXS0603+42-N IR detection object #1027

Color images and BPZ results
Catalog: 1027.cat
Black segments are analyzed here.   Roll mouse over color images to view segments.
Best viewed in a wide browser window (1200 pixels or more).   Download SED & P(z) plots to view larger versions.
In P(z) plots: Yellow lines mark the cluster redshift z = 0.228,  

Object #1027   x,y = (3543, 3307)   RA, Dec = (06:03:08.520, 42:16:36.12) = (90.78550, 42.27670)   BPZ = 6.795 [6.647--7.065]   type = 11.00 (SB11_A_0_l)   stellarity = 0.35   chisq2 = 30.31   ODDS = 0.99   z_cluster = 0.228