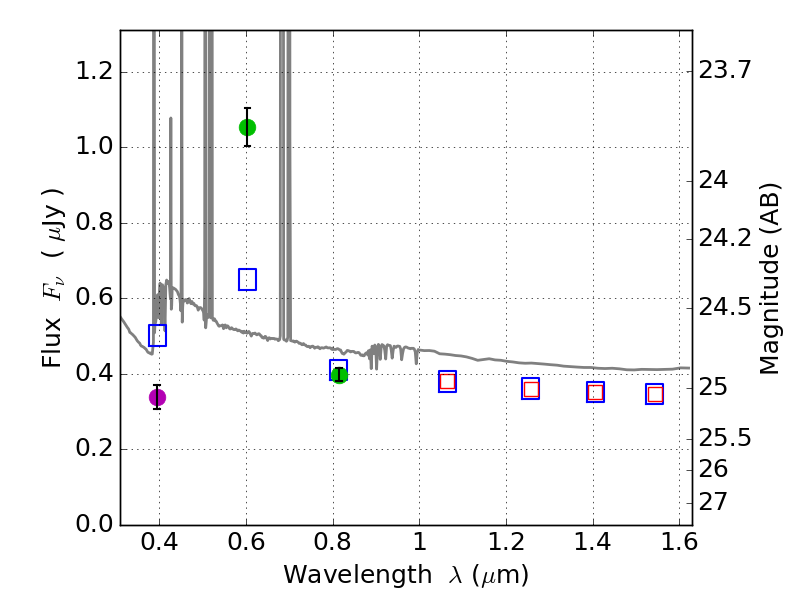
RXS0603+42-N ACS+IR detection object #935

Color images and BPZ results
Catalog: 935.cat
Black segments are analyzed here.   Roll mouse over color images to view segments.
Best viewed in a wide browser window (1200 pixels or more).   Download SED & P(z) plots to view larger versions.
In P(z) plots: Yellow lines mark the cluster redshift z = 0.228,  

Object #935   x,y = (2507, 3722)   RA, Dec = (06:03:14.112, 42:17:00.96) = (90.80880, 42.28360)   BPZ = 0.037 [0.011--0.054]   type = 11.00 (SB11_A_0_l)   stellarity = 0.76   chisq2 = 45.69   ODDS = 1.00   z_cluster = 0.228