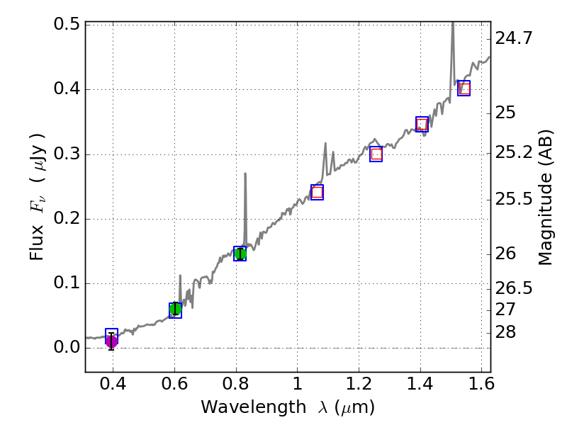
RXS0603+42-N ACS+IR detection object #8519

Color images and BPZ results
Catalog: 8519.cat
Black segments are analyzed here.   Roll mouse over color images to view segments.
Best viewed in a wide browser window (1200 pixels or more).   Download SED & P(z) plots to view larger versions.
In P(z) plots: Yellow lines mark the cluster redshift z = 0.228,  

Object #8519   x,y = (3038, 1043)   RA, Dec = (06:03:11.256, 42:14:20.40) = (90.79690, 42.23900)   BPZ = 0.662 [0.310--4.424]   type = 6.40 (Sbc_B10 - Scd_B10)   stellarity = 0.81   chisq2 = 0.09   ODDS = 0.18   z_cluster = 0.228