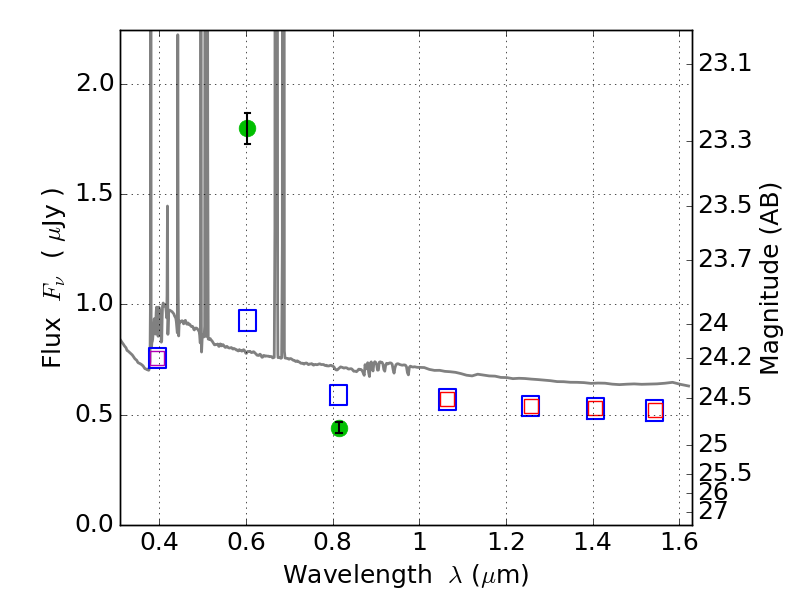
RXS0603+42-N ACS+IR detection object #8438

Color images and BPZ results
Catalog: 8438.cat
Black segments are analyzed here.   Roll mouse over color images to view segments.
Best viewed in a wide browser window (1200 pixels or more).   Download SED & P(z) plots to view larger versions.
In P(z) plots: Yellow lines mark the cluster redshift z = 0.228,  

Object #8438   x,y = (1485, 1107)   RA, Dec = (06:03:19.632, 42:14:24.00) = (90.83180, 42.24000)   BPZ = 0.017 [0.010--0.033]   type = 11.00 (SB11_A_0_l)   stellarity = 0.72   chisq2 = 91.03   ODDS = 1.00   z_cluster = 0.228