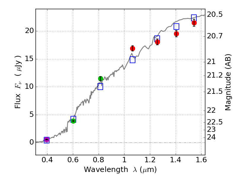
RXS0603+42-N ACS+IR detection object #8190

Color images and BPZ results
Catalog: 8190.cat
Black segments are analyzed here.   Roll mouse over color images to view segments.
Best viewed in a wide browser window (1200 pixels or more).   Download SED & P(z) plots to view larger versions.
In P(z) plots: Yellow lines mark the cluster redshift z = 0.228,  

Object #8190   x,y = (2920, 1140)   RA, Dec = (06:03:11.880, 42:14:26.16) = (90.79950, 42.24060)   BPZ = 0.403 [0.310--0.431]   type = 4.00 (Ell4_A_0)   stellarity = 0.98   chisq2 = 0.93   ODDS = 0.86   z_cluster = 0.228