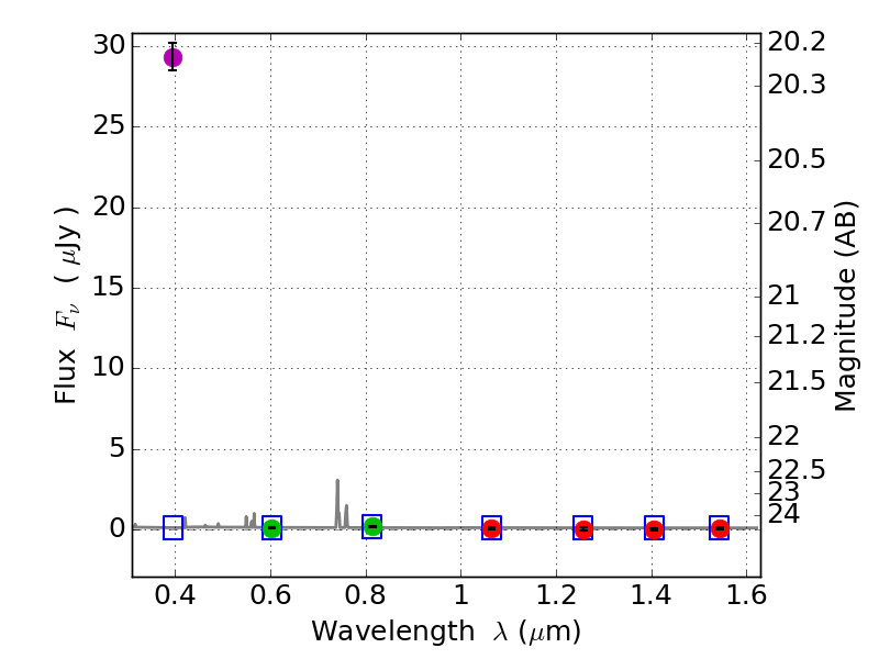
RXS0603+42-N ACS+IR detection object #8023

Color images and BPZ results
Catalog: 8023.cat
Black segments are analyzed here.   Roll mouse over color images to view segments.
Best viewed in a wide browser window (1200 pixels or more).   Download SED & P(z) plots to view larger versions.
In P(z) plots: Yellow lines mark the cluster redshift z = 0.228,  

Object #8023   x,y = (1877, 1074)   RA, Dec = (06:03:17.520, 42:14:22.20) = (90.82300, 42.23950)   BPZ = 0.127 [0.086--1.006]   type = 11.00 (SB11_A_0_l)   stellarity = 1.00   chisq2 = 285.30   ODDS = 0.36   z_cluster = 0.228