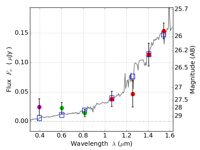
RXS0603+42-N ACS+IR detection object #7397

Color images and BPZ results
Catalog: 7397.cat
Black segments are analyzed here.   Roll mouse over color images to view segments.
Best viewed in a wide browser window (1200 pixels or more).   Download SED & P(z) plots to view larger versions.
In P(z) plots: Yellow lines mark the cluster redshift z = 0.228,  

Object #7397   x,y = (2899, 1385)   RA, Dec = (06:03:12.000, 42:14:40.92) = (90.80000, 42.24470)   BPZ = 2.181 [1.394--2.761]   type = 6.20 (Sbc_B10 - Scd_B10)   stellarity = 0.36   chisq2 = 0.90   ODDS = 0.32   z_cluster = 0.228