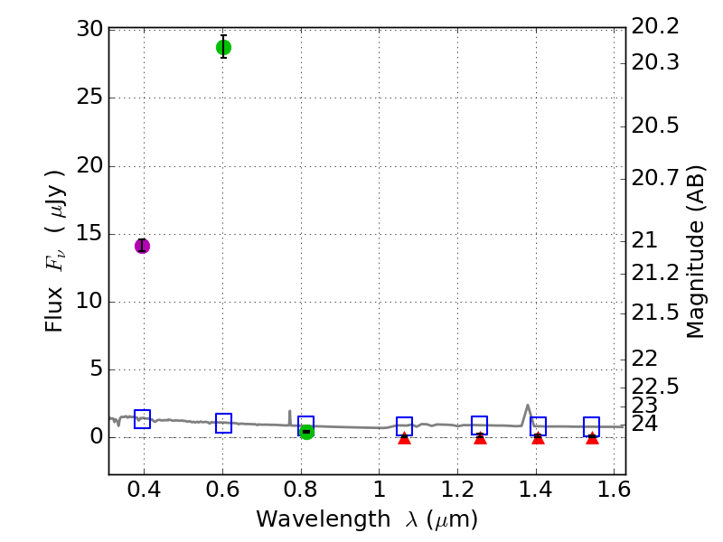
RXS0603+42-N ACS+IR detection object #7219

Color images and BPZ results
Catalog: 7219.cat
Black segments are analyzed here.   Roll mouse over color images to view segments.
Best viewed in a wide browser window (1200 pixels or more).   Download SED & P(z) plots to view larger versions.
In P(z) plots: Yellow lines mark the cluster redshift z = 0.228,  

Object #7219   x,y = (3490, 1370)   RA, Dec = (06:03:08.808, 42:14:39.84) = (90.78670, 42.24440)   BPZ = 1.763 [1.672--2.031]   type = 11.00 (SB11_A_0_l)   stellarity = 0.00   chisq2 = 489.00   ODDS = 0.64   z_cluster = 0.228