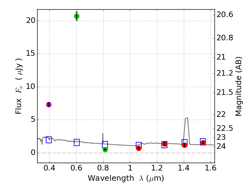
RXS0603+42-N ACS+IR detection object #7161

Color images and BPZ results
Catalog: 7161.cat
Black segments are analyzed here.   Roll mouse over color images to view segments.
Best viewed in a wide browser window (1200 pixels or more).   Download SED & P(z) plots to view larger versions.
In P(z) plots: Yellow lines mark the cluster redshift z = 0.228,  

Object #7161   x,y = (3500, 1424)   RA, Dec = (06:03:08.736, 42:14:43.08) = (90.78640, 42.24530)   BPZ = 1.854 [1.689--1.928]   type = 11.00 (SB11_A_0_l)   stellarity = 0.00   chisq2 = 331.60   ODDS = 0.85   z_cluster = 0.228