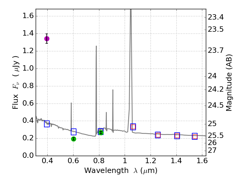
RXS0603+42-N ACS+IR detection object #7146

Color images and BPZ results
Catalog: 7146.cat
Black segments are analyzed here.   Roll mouse over color images to view segments.
Best viewed in a wide browser window (1200 pixels or more).   Download SED & P(z) plots to view larger versions.
In P(z) plots: Yellow lines mark the cluster redshift z = 0.228,  

Object #7146   x,y = (1203, 1540)   RA, Dec = (06:03:21.168, 42:14:50.28) = (90.83820, 42.24730)   BPZ = 1.089 [0.971--1.313]   type = 11.00 (SB11_A_0_l)   stellarity = 0.94   chisq2 = 270.90   ODDS = 0.74   z_cluster = 0.228