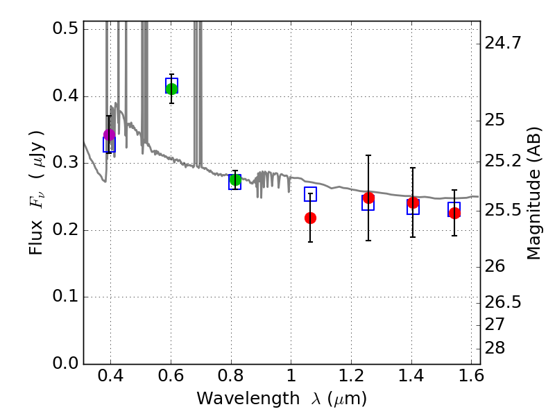
RXS0603+42-N ACS+IR detection object #6352

Color images and BPZ results
Catalog: 6352.cat
Black segments are analyzed here.   Roll mouse over color images to view segments.
Best viewed in a wide browser window (1200 pixels or more).   Download SED & P(z) plots to view larger versions.
In P(z) plots: Yellow lines mark the cluster redshift z = 0.228,  

Object #6352   x,y = (1707, 1805)   RA, Dec = (06:03:18.432, 42:15:06.12) = (90.82680, 42.25170)   BPZ = 0.038 [0.012--2.584]   type = 11.00 (SB11_A_0_l)   stellarity = 0.27   chisq2 = 0.20   ODDS = 0.87   z_cluster = 0.228