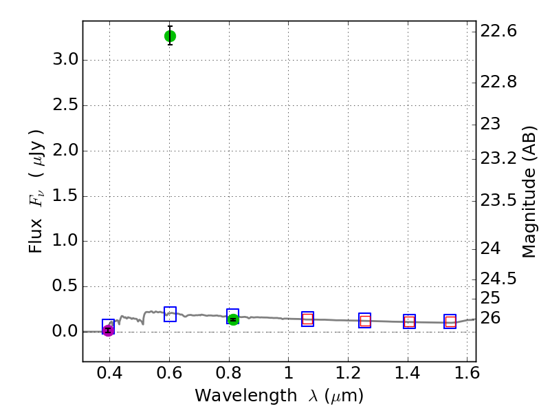
RXS0603+42-N ACS+IR detection object #6350

Color images and BPZ results
Catalog: 6350.cat
Black segments are analyzed here.   Roll mouse over color images to view segments.
Best viewed in a wide browser window (1200 pixels or more).   Download SED & P(z) plots to view larger versions.
In P(z) plots: Yellow lines mark the cluster redshift z = 0.228,  

Object #6350   x,y = (4195, 1702)   RA, Dec = (06:03:04.992, 42:14:59.64) = (90.77080, 42.24990)   BPZ = 3.216 [2.999--3.475]   type = 11.00 (SB11_A_0_l)   stellarity = 0.88   chisq2 = 934.50   ODDS = 0.85   z_cluster = 0.228