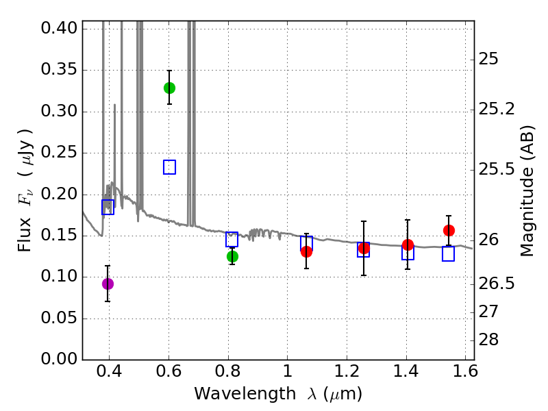
RXS0603+42-N ACS+IR detection object #6185

Color images and BPZ results
Catalog: 6185.cat
Black segments are analyzed here.   Roll mouse over color images to view segments.
Best viewed in a wide browser window (1200 pixels or more).   Download SED & P(z) plots to view larger versions.
In P(z) plots: Yellow lines mark the cluster redshift z = 0.228,  

Object #6185   x,y = (3391, 1869)   RA, Dec = (06:03:09.336, 42:15:09.72) = (90.78890, 42.25270)   BPZ = 0.024 [0.010--2.920]   type = 11.00 (SB11_A_0_l)   stellarity = 0.91   chisq2 = 7.37   ODDS = 0.90   z_cluster = 0.228